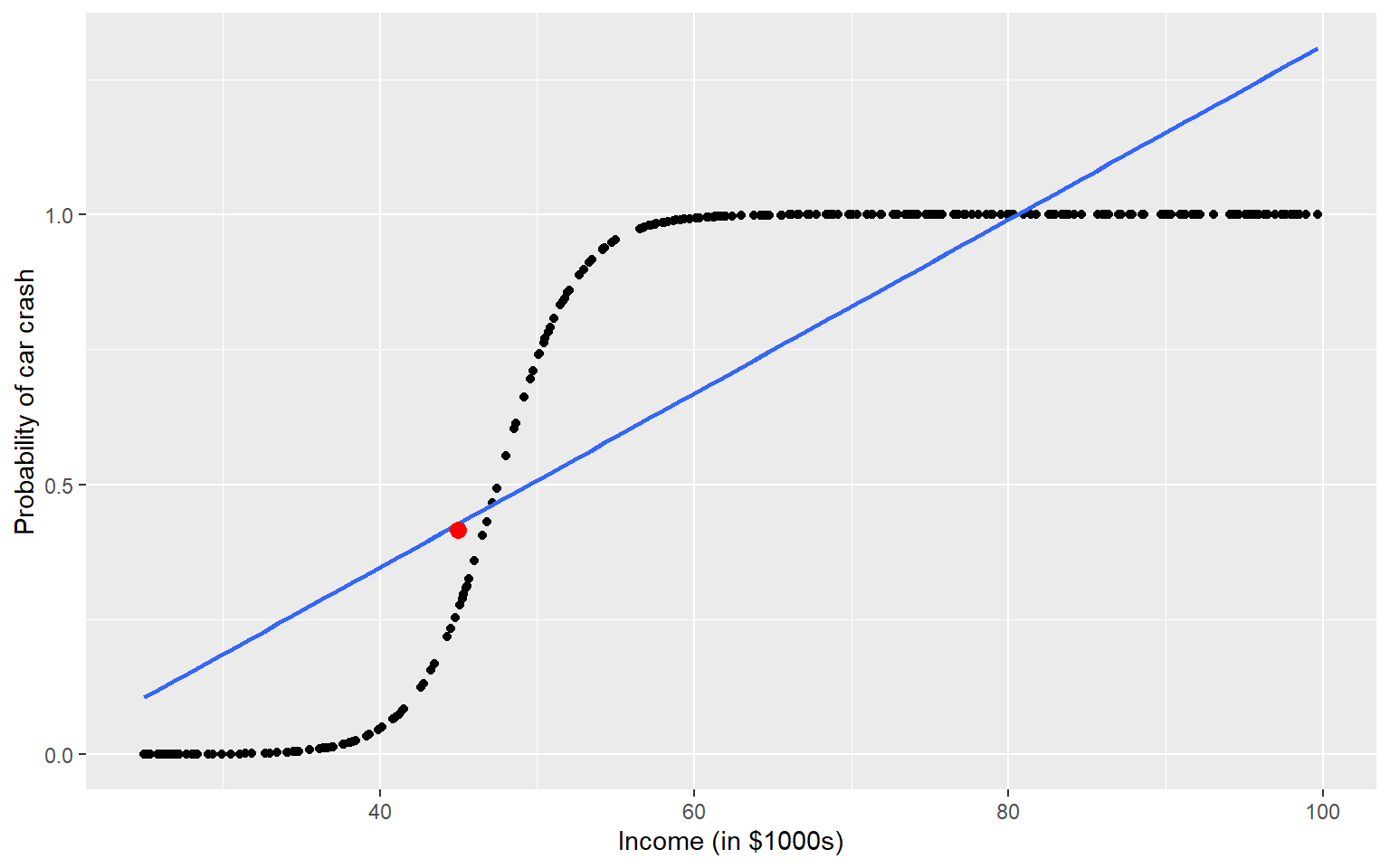
crash_model <- lm(car_crash ~ income, data = sim_crash_data)
new_data <- data.frame(income = 45)
predict(crash_model, newdata = new_data) 1
0.4151667
Logistic regression
Specify variable type (think about the possible values)
Temperature
Presence of Alzheimer’s
Rent
Computer operating system
Daily number of customers
Income class
Which could we model with linear regression?
Identify the response variable type:
Can we model using linear regression anyways?
Let’s simulated data…
What does it mean to fit a line to this data?
We don’t get an error, but …
Linear regression assumes \[Y_i = \beta_0 + \beta_1 X_{1, i} + ... + \beta_p X_{p, i} + \epsilon_i \text{ and } \epsilon_i\sim N(0, \sigma^2)\]
so
\[E[Y_i | X_{1, i}, ..., X_{p, i}] = \beta_0 + \beta_1 X_{1, i} + ... + \beta_p X_{p, i}\]
What is the expectation of a binary variable?
What is our expecation for people with an income of $45,000?
crash_model <- lm(car_crash ~ income, data = sim_crash_data)
new_data <- data.frame(income = 45)
predict(crash_model, newdata = new_data) 1
0.4151667
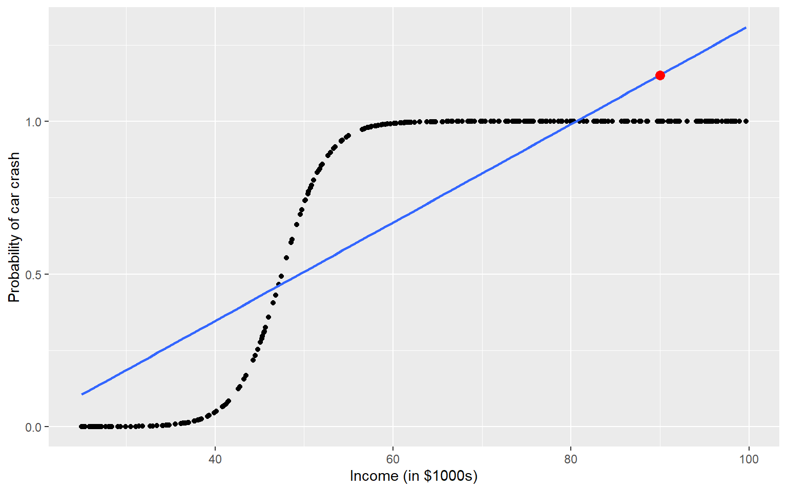
What is our expecation for people with an income of $90,000?
crash_model <- lm(car_crash ~ income, data = sim_crash_data)
new_data <- data.frame(income = 90)
predict(crash_model, newdata = new_data) 1
1.151587
Invalid probability!
We can fit a linear model for a binary response, but:
We can use a logistic model instead!
The logistic function ranges from 0 to 1
\[\text{logistic}(Z) = \frac{e^Z}{1 + e^Z}\]
Let \(Y_i | X_{1, i}, ..., X_{p, i} \sim Bernoulli(\pi_i)\), which means \(E[Y_i | X_{1, i}, ..., X_{p, i}] = \pi_i\)
The logistic regression model is \[E[Y_i | X_{1, i}, ..., X_{p, i}] = \pi_i = \frac{e^{\beta_0 + \beta_1 X_{1, i} + ... + \beta_p X_{p, i}}}{1 + e^{\beta_0 + \beta_1 X_{1, i} + ... + \beta_p X_{p, i}}}\]
\[\pi_i = \frac{e^{\beta_0 + \beta_1 X_{1, i} + ... + \beta_p X_{p, i}}}{1 + e^{\beta_0 + \beta_1 X_{1, i} + ... + \beta_p X_{p, i}}}\]
Through some algebra we can rewrite the model as \[\log(\frac{\pi_i}{1 - \pi_i}) = \beta_0 + \beta_1 X_{1, i} + ... + \beta_p X_{p, i}\]
\[\log(\frac{\pi_i}{1 - \pi_i}) = \beta_0 + \beta_1 X_{1, i} + ... + \beta_p X_{p, i}\]
What are odds?
Relationship between probability and odds
\[\log(\frac{\pi}{1 - \pi}) = \beta_0 + \beta_1 X_1 + ... + \beta_{p-1} X_{p-1}\] Now we have a model that connects \(E[Y|X] = \pi\) to our data, but how do we interpret the parameters, \(\beta_j\)’s?
Recall for linear regression: \(E[Y|X] = \beta_0 + \beta_1 X\)
\[\log(\frac{E[Y_i|X_i]}{1 - E[Y_i|X_i]}) = \beta_0 + \beta_1 X_i\]
Odds Ratio
\(e^{\beta_1} = \frac{\pi_a}{1-\pi_a} / \frac{\pi_b}{1-\pi_b}\)
We typically interpret the odds ratio \(e^{\beta_1}\) instead of log odds ratio \(\beta_1\)
If \(e^{\beta_1}\) = 1
If \(e^{\beta_1}\) < 1
If \(e^{\beta_1}\) > 1
We want the Maximum Likelihood Estimate (MLE) for the \(\beta_j\)’s… why?
The MLE aims to find estimates \(\hat{\theta} = \{\hat{\beta}_0, \hat{\beta}_1, ..., \hat{\beta}_{p-1}\}\) that maximize the likelihood function over the parameter space with a given data set.
The likelihood function \(L(\theta | y)\) measures the goodness of fit of a statistical model to a sample of data for given values of the unknown parameters \(\theta\).
The Maximum Likelihood Estimators have desirable asymptotic (large sample size) properties
We want to find estimators \(\hat{\beta_0}, \hat{\beta_1}, ..., \hat{\beta_p}\) that maximize \(L(\theta | y)\)
In linear regression we used a t-test to test for statistically significant features.
Beware in logistic regression there are different tests that can be used (we will talk about these)
Know which one your software is using!
How do we convert the predicted probabilities to values of \(Y\) (e.g., 0 vs 1 or TRUE vs FALSE)?
The cutoff should be a domain knowledge-based decision. The natural cutoff with no context would be 0.5

There are many considerations for how “well” our logistic model is predicting